【院試解答】東大院機械工学専攻2022流体力学II
スポンサーリンク
今回は東大院機械工学専攻2022年流体力学IIを解説したいと思います。
ガバガバなところがあったり間違っているかもしれませんが解答の参考にしてください。
なお問題をそのまま載せるのは権利の都合上まずいと思うので載せません。
問題が欲しいという方はコメントするかtoriatama321@gmail.comに連絡してください。
問題を解くのに必要な知識
・ハーゲン・ポアズイユ流れ
・運動量の法則
解答本文
ハーゲン・ポアズイユ流れに関する問題です。結構簡単な問題だとは思います。ちょくちょく出題されているのでマスターしておきましょう。
(1)気液界面の移動速度を求める問題
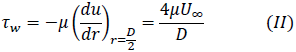
壁面せん断応力をτwとすると、液柱長さがL0のとき力のつりあいより
![]()
これよりτwは
![]()
となります。

次にこれと連立するためにτwを求めていきます。
速度分布uはr=0における流速をU∞、定数をaとすると
![]()
と表されます。r=D/2のときu=0よりaは
![]()
なのでuは
![]()
これをrで微分すると
![]()
ニュートンの粘性法則よりτwは

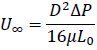
と得られます。式(I)と(Ⅱ)を連立するとU∞は

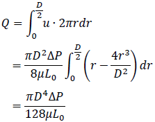
断面を通過する体積流量Qは

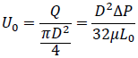
断面内平均流速U0は

となります。
(2)液柱部長さの時間発展を支配する方程式を求める問題
t≧0のとき常に設問(1)の条件が成立するときLは
![]()
の微分方程式をみたします。
(3)液柱長さの時間発展を求める問題
設問(2)の微分方程式を変形すると
![]()
![]()
t=0のときL=L0なのでC1は
![]()
これよりLは

となります。
(4)粘性によるエネルギー散逸を求める問題
単位体積あたりの粘性によるエネルギー散逸をeとすると、エネルギー保存則より
![]()
これよりeは
![]()
断面を通過する体積流量Qは
![]()
なので粘性によるエネルギー散逸は
![]()
となります。
(5)検査面Fの圧力を求める問題
摩擦および運動量の流入、流出、時間変化は無視できるので運動量法則は右向きを正とすると
![]()
となるのでPFは
![]()
となります。
以上で解説は終わりです。最後まで読んでくれてありがとうございました。
人気ブログランキング |
にほんブログ村 |