ハーゲン・ポアズイユ流れ②(管摩擦係数の式まで)
スポンサーリンク
どうもSNです。 前回
の記事でハーゲン・ポアズイユ流れの速度分布が

であることを求めました。今回は管摩擦係数の式を導出してきたいと思います。
今回の記事のゴール
今回はこれを用いてハーゲン・ポアズイユの式

と管摩擦係数の式

を求めていこうと思います。これは前回の記事でも示した通り院試でもよく出るのでしっかり押さえておきましょう。
導出の流れ
さて、それではさっそく管摩擦係数の式を目指してやっていきましょう。流れとしては
①ハーゲン・ポアズイユの式を導出するために円管を流れる体積流量Qを求める。
②断面内の平均流速vを求める。
③以上で求めた結果とダルシー・ワイスバッハの式を用いて管摩擦係数λを求める。
ってな感じです。それでは①、②、③の手順で進めていきましょう。
①ハーゲン・ポアズイユの式を導出するために円管を流れる体積流量Qを求める。
というわけでまずは流量Qを求めていくわけですがここでまず準備として以下のことを復習しましょう。
下図のようにある断面積がAの断面を流れる流体について考えます。

この断面内で流体の流速が均一であるとし、この速度をUとすると 断面を通じて流入する体積流量Qは

となります。これは皆さん大丈夫だと思います。
さて今回Qを求めるにあたって問題になってくるのは円管の断面内で速度が均一でないことです。記事の冒頭に示したように速度uはrの関数となっていて半径によって流速は違いますよね。なので上で復習した式

をそのまま用いて流量を求めることは今回考えているハーゲン・ポアズイユ流れでは不可能です。この問題を解消するために以下のように考えます。
下図の斜線部のように円管断面内の円管の中心からrの位置に微小な幅drの微小部分を考えます。

ここで、uはrによって変化するわけなのですがdrを微小にすることにより斜線部では速度が均一であるとみなせます。この微小要素内での流速は中心からの距離がrなのでu(r)ですね。
ここで微小部分においては流速が均一になったので上で復習した式

が使えます。よって微小部分内の体積流量dQは微小要素の面積をdAとすれば

となりますね。
ここでu(r)は既に分かっているので今度は微小部分の面積dAについて考えましょう。

上図のようにdrが微小なので内側と外側の円周の長さは同じと考え、この輪っかを切り開いていくと縦がdr、横が2πrの長方形になるとして

としてもよいですが、ここでは外側の半径がr+drの円の面積から内側の半径がrの円の面積を引くと考えましょう。するとdAは

となりますが、ここでdrは微小なのでdrの二乗部分はさらに微小になるので無視すると

となるのでこれを式(1)に代入するとdQは

となります。よって断面全体を流れる流量Qはrを0~Rまで積分すればよいので冒頭で示したuの式を用いると

となってこれを計算すると

となります。ここでハーゲン・ポアズイユ流れでは圧力勾配dp/dxは負となります。(今回は粘性力は流れとは逆向きに働くはずですが、これと圧力による力がつり合うためには流れ方向に圧力が減少していかなくてはならないためです)
ここで円管の長さをlとし、この長さlの円管で生じる圧力降下をΔp(>0)として圧力損失dp/dxを書き直せば

となるので

となってハーゲン・ポアズイユの式が導けました。こんなめんどくさい書き換えをしないで最初からこの結果を得たい場合には前回の円柱要素の右の断面に生じる圧力をp-Δpとすると上手くいきます。
②断面内の平均流速vを求める。
次に断面内の平均流速を求めます。とはいってもこれはものすごく簡単ですね。
断面内の平均流速と断面積の積が体積流量に等しいことはQ=AUの復習からもわかると思います。よって断面内の平均流速vは

と求まります。
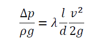
③以上で求めた結果とダルシー・ワイスバッハの式を用いて管摩擦係数λを求める。
ダルシー・ワイスバッハの式

を管摩擦係数λについて解くと

となります。ここで式(2)をR=d/2の関係を用いて変形するとvは

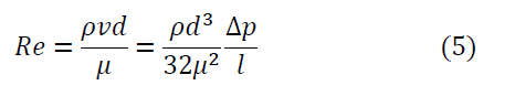
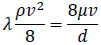
となる。式(4)を用いてこの流れのレイノルズ数Reを計算すると

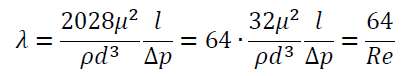
となる。また式(4)を式(3)に代入して式(5)と比較すると

となって管摩擦係数の式が導ける。これで目標の管摩擦係数の式の導出は終わりです。
最後は式が複雑になるので知っていないと厳しいように思います。僕が最初にこの方法でこの式を導いたときは式をこねくりまわして???となったのを覚えています。え?本当に1/Reの形現れてる??となって時間を浪費することになりがちなので結論に関しては覚えてしまった方が良いです。
違ったアプローチからの導出
最後に②の断面内の平均流速を導出するところまでは同じ手順ですが、手順③の管摩擦係数λの式の導出についての違ったアプローチを紹介して終わろうと思います。
λ=64/Reの式は前回で求めた結果とダルシー・ワイスバッハの式をΔpについて解いた式

を用いても導出できます。以下にそれを示します。
前回の①の方法もしくは③の方法で円柱要素に関して力のつり合いや運動量の法則を用いた結果として
![]()
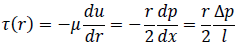
が得られましたね。今回は円柱要素に対してではなく下図のように直径d(=2R)、長さlの円管に対して力のつり合い、もしくは運動量法則を考えます。

これは上のつり合い式においてr→d/2,dx→l,dp/dx→-Δp/lとした場合に相当します。こうするとせん断応力τ(この場合は円管について考えているので円管の壁面に働く壁面せん断応力ですね)は
![]()
式(7)は式(6)を用いると
![]()
となる。ここでニュートンの粘性法則よりせん断応力の分布τ(r)は前回求めた速度分布

を用いると
![]()
となる。壁面せん断応力τはr=d/2の時の値を代入してやると
![]()
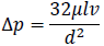
ここでR=d/2を用いて式(2)をΔpについて解くと
![]()
これを式(9)に代入するとτは
![]()
となる。式(8)と式(10)を連立すると
![]()
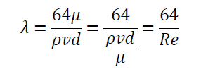
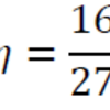
であるからこれをλについて解くと

となって管摩擦係数の式が導けます。いかがだったでしょうか。もしかしたら複雑に見えたかもしれませんが、要するに前回の速度分布を求めるときに用いた力のつり合いや運動量法則といった方法を円管に対して用いて、そこから得られる結果に今回の手順②までで求めた結果を代入していっただけです。この方法の利点はなんといっても最後に

とわかりやすい形が得られるところです。一つ目の方法は2048とか指数が3の文字が現れてごちゃごちゃしていたのに対してこっちはスッキリしていますね。
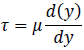
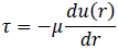
円管におけるニュートンの粘性法則
円管流れにおけるニュートンの粘性法則
![]()
になぜマイナスがついているのかを軽く説明しておきます。y座標を用いているニュートンの粘性法則

の場合は壁面を原点にとり、遠ざかる方向を正にしています。一方で円管流れにおけるニュートンの粘性法則は円管の中心を原点にとり、壁面に近付く方を正としています。
下図のように円管の半径をRとするとyとrの間には
![]()
の関係が成立するのでdu(y)/dyは合成関数の微分より
![]()
となります。

というわけで以上でハーゲン・ポアズイユ流れに関しての記事は終わりです。いずれ過去問解説もやる予定なので気長に待っていてください。
人気ブログランキング |
にほんブログ村 |