【院試解答】東大院機械工学専攻2020材料力学I
スポンサーリンク
今回は東大院機械工学専攻2020年材料力学Iを解説したいと思います。
ガバガバなところがあったり間違っているかもしれませんが解答の参考にしてください。
なお問題をそのまま載せるのは権利の都合上まずいと思うので載せません。
問題が欲しいという方はコメントするかtoriatama321@gmail.comに連絡してください。
問題を解くのに必要な知識
・たわみ曲線の微分方程式
・重ね合わせの原理
解答本文
基本的な問題なのでしっかり解きたいところです。たわみ曲線を求めるときはできるだけ丁寧に計算してミスには気をつけましょう。
(2)のAC部分のたわみ曲線の式については簡単に検算ができる方法もあるのでそれも合わせて紹介しておきます。参考にしてください。
(1)断面内の曲げモーメントを求める問題
0≦x≦aのときは明らかに曲げモーメントは生じていないので
![]()
a≦x≦Lのときは下図のように梁を自由端からxの位置で切断し断面より左側の部分でモーメントのつり合いを考えると
![]()
なのでM(x)は
![]()
と求まります。

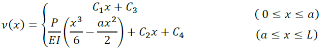
(2)たわみ曲線の式を求める問題
たわみ曲線の微分方程式

に(1)の結果を代入し両辺を順次積分していくと


となります。ただし、C1、C2、C3、C4はすべて積分定数とします。
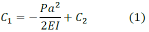
x=aでたわみ角が連続であることから

x=aでたわみが連続であることから

これと式(1)より

x=Lでたわみ角とたわみが0であることから


これらと式(1)、(2)より積分定数C1、C3はそれぞれ


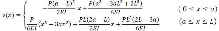
となります。以上より求めるたわみ曲線の式は

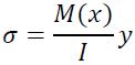
(3)最大引張応力についての問題
曲げ応力の式

に(1)の結果と

を代入すると梁に発生する曲げ応力は

となります。これが最大となる位置は

でその値は

よって最大引張応力σmaxは

であり、その位置は

とわかります。
(4)断面内の曲げモーメントを求める問題
梁は下図のように自由端に反力RDを受けます。

0≦x≦aのときは下図のように梁を自由端からxの位置で切断し、断面より左側の部分でモーメントのつり合いを考えると

なのでM(x)は

となります。

a≦x≦Lのときも同様に下図のような断面をとり、モーメントのつり合いを考えれば

が成立するのでM(x)は

となります。

(5)D点での反力を求める問題
たわみ曲線の微分方程式でやるのはだるいので重ね合わせの原理を用いましょう。
この問題を自由端に上向きの反力RD、C点に下向きの集中荷重Pが作用している問題の重ね合わせと考えて重ね合わせの原理を用います。自由端に上向きの反力RDが作用しているときの自由端のたわみy1は

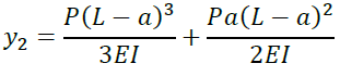
次にC点に下向きの集中荷重Pが作用しているときの自由端のたわみy2はAC部分に曲げモーメントが生じておらず、この部分は直線のまま鉛直方向に変位することから

と求まります。y2の求め方がよくわからない人はこのページの3-1を参照してください。これらを重ね合わせれば自由端に上向きの反力RD、C点に下向きの集中荷重Pが作用しているときの自由端のたわみδAは

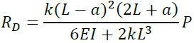
と求まります。つぎにコイルばねについてフックの法則より
![]()
が成立します。これに式(3)を代入してRDについて解くと

(参考)(2)のAC部分のたわみ曲線の検算について
大問の前半部分の問題設定ではAC間に曲げモーメントは生じていないため下図のようにAC間は曲がることなく直線となります。

AC部分は直線なのでたわみ曲線の式は当然
![]()
の形になります。上図では以下に示す表に対応させるためにx軸を固定端を原点として左向きが正になるようにとっていますが、問題では自由端を原点として右向き正に設定されているので傾きが負になることに注意してaとbをそれぞれ求めていきます。まず、傾きaは梁が途切れたりすることなく連続であることからC点におけるたわみ角に等しくなります。C点におけるたわみ角は下の表にある片持梁の公式を用いれば一発で求まるので傾きaは

となります。冒頭でも言ったとおり本問では座標の取り方が下の表とは異なるので-をつけることを忘れないようにしましょう。

次にbを求めます。直線の傾きがわかったのであとは直線ACが通る任意の点の座標さえわかればbを求めることができます。
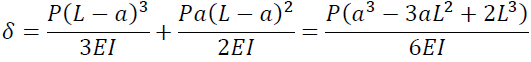
C点の座標はすぐにわかるのでそっちでbを計算してもいいですがせっかくなので自由端のたわみを求めてみます。自由端のたわみδ(=y3+y4)は(5)におけるy2と等しく、

となります。x=0でy=δなのでbは

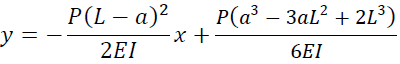
以上よりAC部分のたわみ式は

となって(2)の式と一致するので検算は完了です。こういう感じで複数のやり方でやって同じ答えが得られると自分の出した答え自信が持てるのでいいですね。検算にも使えて便利なのでぜひ重ね合わせの原理はマスターしておくことをおすすめします。また、本記事の解答ではいきなり表の片持梁の公式を使ってたわみ角やたわみを出していますが解答に書く際は一応軽くでも導出を書いておいた方が安全です。導出についてはこの記事に書いてあるので不安な方は確認お願いします。
冗長な文章になりましたが以上で解説は終わりです。最後まで読んでくれてありがとうございました。
人気ブログランキング |
にほんブログ村 |