先端が角度θだけ折れ曲がった梁
スポンサーリンク
今回は下の画像の問題について解説をしたいと思います。

ちなみにこのθが90°のときは東大院と東北大院に出題されています。
それでは問題の解説をしていきたいと思います。
解答本文
まず、本問の梁がどういう形を把握しましょう。梁を上から眺めると下図のようになります。ただし、固定端をA、折れ曲がりの視点をB、荷重点をCとしました。

先端部分が図のように角度θで折れ曲がっているのが今回の梁です。θ=0°のときは真っ直ぐな片持梁で、θ=90°のときがL字型の梁になります。L字型の梁のときの荷重点のたわみは既に上に示した東北大院の記事にて求めていますし、片持梁の答えは公式ですぐに計算できるのであとでθ=0°、90°とした答えがそれと一致していれば検算が行えますね。
(1)固定端に生じるモーメントを求める問題
曲げモーメントとねじりモーメントを別々に求めていきましょう。なお、固定端に生じる反力は今回は影響しないため無視します。
それではまず、固定端に生じる曲げモーメントをMとします。

この梁を手前から見ると下図のようになります。

固定端周りのモーメントのつりあいを考えると
![]()
が成立するので曲げモーメントMは
![]()
となります。次に固定端に生じるねじりモーメントTを求めます。

この梁を壁側から見ると下図のようになります。

モーメントのつりあいを考えると
![]()
が成立するのでねじりモーメントTは
![]()
となります。
(2)荷重点のたわみを求める問題
AB間、AC間に生じる曲げモーメントおよびねじりモーメントを求めていきます。
まずはAB間について考えていきましょう。下図のようにAからxの位置で梁を切断し、断面に生じる曲げモーメントをMx、ねじりモーメントをTxとします。

まず曲げモーメントMxを求めます。下図のようにこの梁を手前から見て断面より右側についてモーメントのつりあいを考えると

が成立するので曲げモーメントMxは

と求まります。

次にねじりモーメントTxを考えます。下図のようにこの梁を壁側から見て断面より右側についてモーメントのつりあいを考えると
![]()
が成立するのでねじりモーメントTxは
![]()
と求まります。

AB間については求めたので次はBC間について考えます。下図のようにBからyの位置で梁を切断し、断面に生じる曲げモーメントをMy、ねじりモーメントをTyとします。

まず曲げモーメントMyを求めます。下図のようにこの梁をBCに垂直な方向(橙色の矢印に示すように見る)から見て断面より右側についてモーメントのつりあいを考えると
![]()
が成立するので曲げモーメントMyは
![]()
と求まります。

次にねじりモーメントTyを考えます。下図のようにこの梁を真上から見ればBC間にねじりモーメントは生じないことがわかるのでTyは
![]()
となります。

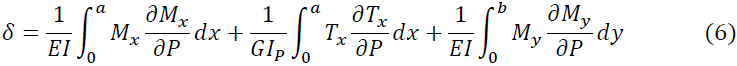
AB間、BC間に生じるモーメントが求められたのであとは梁全体に蓄えられる弾性ひずみエネルギーを求め、カスチリアノの定理を適用すれば荷重点のたわみを求めることができます。カスチリアノの定理より弾性ひずみエネルギーをUとすればδは

で求められます。ここでUはねじりモーメントによる弾性ひずみエネルギーと曲げモーメントによる弾性ひずみエネルギーの合計なのでIを断面二次モーメント、IPを断面二次極モーメントとしてTy=0を考慮すれば

となります。よって式(5)は

と変形できます(この変形についてはこの記事を参照)。ここで

より式(6)は

それぞれの積分は



となるのでこれを代入すればδは

と求まります。これに

を代入すれば荷重点のたわみは

と求まります。
検算(θ=0°、θ=90°で)
次に(2)の答えが合っているか検算をします。
式(7)においてθ=0°、a=b=lとすると

となります。θ=0°、a=bのときこの梁は長さ2aの片持ち梁となりますがそのときの荷重点のたわみは上の式と一致します。
次に

においてθ=90°、a=L1、b=L2、P=Wとすると

となって東北大院の問題の答えと一致します。以上よりδの値はおそらく合っていると確認できました。
以上で解説は終わりです。長くなりましたが最後まで読んでくれてありがとうございました。
人気ブログランキング |
にほんブログ村 |