【院試解答】東大院機械工学専攻2025熱力学II
スポンサーリンク
今回は東大院機械工学専攻2025年熱力学IIを解説したいと思います。
ガバガバなところがあったり間違っているかもしれませんが解答の参考にしてください。
なお問題をそのまま載せるのは権利の都合上まずいと思うので載せません。
問題が欲しいという方はコメントするかtoriatama321@gmail.comに連絡してください。
問題を解くのに必要な知識
・熱エネルギーバランス
・フーリエの法則
解答本文
いつも通り熱エネルギーのバランスを考える問題です。検査体積も設問で設定されており、誘導もアホみたいに丁寧なので慎重に計算して完答したいところです。
(1)検査体積に流入する熱量を求める問題
フーリエの法則より熱流束qは

単位長さを考えているので熱が流入する面積Aは
![]()
以上から検査体積に流入する熱量Q(r)は

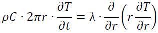
(2)非定常熱伝導方程式を導く問題
検査体積から流出するQ(r+dr)はdrが微小なので

これと式(1)を設問で与えられている式(1.1)に代入すると

これを整理すると非定常熱伝導方程式は

と得られます。
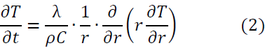
(3)水の温度分布を求める問題
定常状態と近似できるので

これより式(2)は

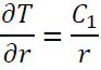
となります。積分定数をC1、C2としてこれを順次積分していくと

![]()
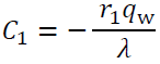
が得られます。r=r1のとき、熱流束はqwなのでフーリエの法則より

が成立します。これよりC1は

と求まります。次に、境界条件のr=r2でT=T2よりC2は

と得られます。以上よりTは

以上で解説は終わりです。最後まで読んでくれてありがとうございました。
人気ブログランキング |
にほんブログ村 |