【院試解答】東大院機械工学専攻2024熱力学I
スポンサーリンク
今回は東大院機械工学専攻2024年熱力学の大問Iを解説したいと思います。
ガバガバなところがあったり間違っているかもしれませんが解答の参考にしてください。
なお問題をそのまま載せるのは権利の都合上まずいと思うので載せません。
問題が欲しいという方はコメントするかtoriatama321@gmail.comに連絡してください。
問題を解くのに必要な知識
・ブレイトンサイクル
・断熱過程
・定圧過程
・カルノーサイクル
解答本文
かなり基本的なサイクルについての問題です。このようにサイクルの問題が出た時には答え合わせにも使えるので有名サイクルの熱効率は覚えておくことをおすすめします。サイクルの学習には以下の本がおすすめです。JSMEより小さくて持ち運びやすいです。
(1)サイクルの熱効率を求める問題
サイクル動作中に作動流体が受け取る熱量をqH、放熱量をqLとすると熱効率ηは

と表せます。このサイクルにおいて作動流体が加熱される過程はa→b、放熱する過程はc→dといずれも定圧過程なのでqH、qLはそれぞれ
![]()
![]()
となります。これらを式(1)に代入するとこのサイクルの熱効率ηは

と求められます。
(2)ηをκ、p0、p1で表す問題
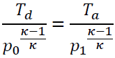
d→aは断熱圧縮なので

が成立します。これよりTdは

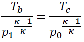
となります。また、b→cは断熱膨張なので

が成立し、これを変形するとTbは

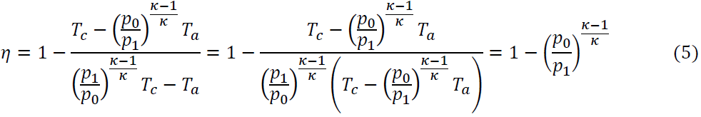
となります。これを式(2)に代入するとηは

となってκ、p0、p1を用いて表せます。
(3)最高温度及び最低温度となる状態とT-s線図を求める問題
d→aの過程は断熱圧縮過程なのでこの過程で温度は上がります。よってTd<Taとわかります。次にa→bは定圧加熱なのでこの過程でも温度は上がります。よってTa<Tbとわかります。その他の各過程についても同様に考えると、b→c及びc→dはそれぞれ断熱膨張過程、定圧放熱過程なのでいずれの過程でも温度は下がります。以上から最高温度となるのは状態b、最低温度となるのは状態dとわかります。
次にこのサイクルのT-s線図ですが上記の温度の大小関係と断熱過程がT軸に平行な直線となることに注意すれば以下のようになります。

(4)ηc>ηとなることを説明する問題
式による説明の方が楽なのでそっちで解答します。
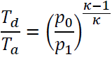
式(3)より

の関係が得られるので、これを式(5)に代入するとηは

となります。ここでこのサイクルと同じ最高温度と最低温度の間で動作するカルノーサイクルの熱効率ηcは

なので式(6)、(7)とTb>Taよりηc>ηとわかります。
(別解)T-s線図での説明
T-s線図と式(1)を用いてηc>ηを説明します。
このサイクルと同じ最高温度と最低温度の間で動作するカルノーサイクルのT-s線図はda'bc'となります。

問題で与えられたサイクルにおけるqH、qLは下のT-s線図上でそれぞれ赤塗りつぶし部、橙塗りつぶし部となります。

次にカルノーサイクルにおけるqH、qLは下のT-s線図上でそれぞれ青塗りつぶし部、緑塗りつぶし部となります。

以上よりqHは
問題で与えられたサイクル<カルノーサイクル
qLは
カルノーサイクル<問題で与えられたサイクル
とわかるので、これと式(1)よりηc>ηが言えます。
以上で解説は終わりです。最後まで読んでくれてありがとうございました。
人気ブログランキング |
にほんブログ村 |
