意識他界系大学院生のクソブログ

院試が終わったので体験談だったり解説をゆったりと書いていこうかなと思っています。院試関係ない日記も書きます。

2021-11-20から1日間の記事一覧

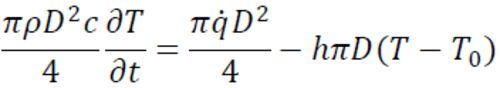
【院試解答】東大院機械工学専攻H22熱力学II

今回は東大院機械工学専攻平成22年熱力学IIを解説したいと思います。 ガバガバなところがあったり間違っているかもしれませんが解答の参考にしてください。 なお問題をそのまま載せるのは権利の都合上まずいと思うので載せません。 問題が欲しいという方はコ…