【院試解答】東大院機械工学専攻2022熱力学I
スポンサーリンク
今回は東大院機械工学専攻2022年熱力学Iを解説したいと思います。
ガバガバなところがあったり間違っているかもしれませんが解答の参考にしてください。
なお問題をそのまま載せるのは権利の都合上まずいと思うので載せません。
問題が欲しいという方はコメントするかtoriatama321@gmail.comに連絡してください。
問題を解くのに必要な知識
・断熱過程
・等積過程
・ヒートポンプの成績係数
・不可逆過程
解答本文
見た目は文章多めでだるそうですが、前半はただオットーサイクルを逆にしたサイクルの問題なので難しくないと思います。ケアレスミスがないように丁寧に解きましょう。後半は断熱過程が不可逆な場合を考えるとのことでややこしくなりますが、(5)までは解き切りたいところです。(7)もできたら超がつくほど十分な気がします。正直(6)と(8)は自信ないです。
(1)圧縮比を求める問題
状態1から状態2への変化は断熱変化なので
![]()
が成立します。よって圧縮比は

と求まります。
(2)吸熱量Qcを求める問題
状態3から状態4への変化なので
![]()
が成立します。これより状態4における気体の温度T4は
![]()
と求まります。ここで吸熱過程は等積過程なのでQcは
![]()
(3)ヒートポンプサイクルの成績係数を求める問題
状態2から状態3への変化は等積過程なのでこの過程での放熱量をQhとすると
![]()
なので成績係数εは

(4)T-s線図に状態2,3,4を記入する問題
理想気体の等積過程におけるエントロピーの変化を考えます。熱力学第1法則およびエントロピーの定義式から
![]()
ここで等積過程ではdV=0なので上の式は
![]()
となります。積分定数をC1としてこの両辺を積分すると理想気体が体積一定で変化する際の比エントロピーsと温度Tの関係を表す式は
![]()
と求まります。
次にT-s線図に状態2、3、4を記入するためにそれぞれの過程がT-s線図でどのように表されるかを考えていきます。
状態1から状態2までの変化は可逆断熱圧縮なので比エントロピーは変化せずに温度は上昇します。
状態2から状態3までの変化は等積変化なのでV=V2の定積線に沿って変化します。
状態3から状態4までの変化は可逆断熱膨張なので比エントロピーは変化せずに温度は低下します。
状態4から状態1までの変化は等積変化なのでV=V1の定積線に沿って変化します。
以上より状態2、3、4を図1-1に記入すると下図のようになります。

(5)T-s線図に状態5,6,7を記入する問題
断熱過程が不可逆になるのでこの過程では可逆断熱変化の場合と違い比エントロピーが増加してしまいます。それを踏まえて状態5、6、7およびV=V5の定積線を設問(4)で書き写したT-s線図に記入すると下図のようになります。違いがわかりやすいように状態2、3、4およびV=V2の定積線は残しています。

ここで断熱前後の状態を結ぶ線が点線となっているのは、不可逆過程だからです。不可逆過程では過程の途中で熱力学的に非平衡な状態が存在するので線図上で描くことはできません。なので上の図のように点線で表すのが正しいです。
(6)ヒートポンプサイクルの成績係数が1となる条件を示す問題
放熱量は問(1)の場合と同じかつ断熱圧縮における断熱効率は1です。ここで断熱膨張における断熱効率をηeとすると
![]()
なので成績係数ε'は
![]()
となります。これが1となるときはT1=T7となる必要があります。
なので解答としては
放熱量および圧縮仕事は問(1)の場合と等しいため、成績係数が1となるには状態7と状態1の温度が等しくなればよい。
といった感じでしょうか。このときの断熱膨張を書き入れると下図の緑線のようになります。


(7)T-s線図に状態5,6,7を記入する問題
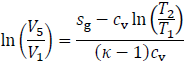
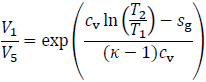
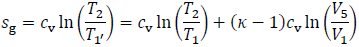
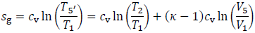
エントロピー発生量は経路によらないので、sgは温度T1、体積V1の状態1から温度T2、体積V5の状態5まで変化したとして計算できます。よってsgは
![]()
となります。これより

なので圧縮比は

と求まります。
(別解)別の経路でsgを計算する
状態1から気体を可逆断熱圧縮させ、体積がV5となった状態を状態1'、状態5から気体を可逆断熱膨張させ、体積がV1となった状態を状態2'とします。

ここではsgを
(経路1)状態1→状態1'→状態5
(経路2)状態1→状態5'→状態5
の二通りの経路で計算してみます。
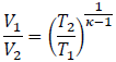
まずは経路1から行います。状態1から状態1'は可逆断熱過程なので
![]()
が成立します。よって
![]()
状態1から状態1'は可逆断熱過程なのでエントロピーは変化しません。なので結局、sgは状態1'から状態5までの等積変化によりるエントロピー変化と等しくなります。これを計算すると
![]()
これを圧縮比について変形すると本解と同じ

が得られます。
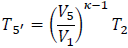
次に経路2です。状態5から状態5'は可逆断熱過程なので
![]()
が成立します。よって
![]()
状態5'から状態5'は可逆断熱過程なのでエントロピーは変化しません。なので結局、sgは状態1から状態5'までの等積変化によりるエントロピー変化と等しくなります。これを計算すると
![]()
これを圧縮比について変形すると本解と同じ

が得られます。
(8)不可逆ヒートポンプサイクルの成績係数が1となる条件を示す問題
4つ以上示せとのことですがよくわかりません。思いついたら書きます。
完答できなくて申し訳ないですが、以上で解説は終わりです。最後まで読んでくれてありがとうございました。
人気ブログランキング |
にほんブログ村 |